Introduction
Artificial intelligence (AI) in marketing has changed marketing processes and expected outcomes. Before now, AI was only a novel concept. But today, we have seen how AI can tailor customer experiences, streamline complex tasks, and extract valuable insights from massive amounts of data. Many companies are recognizing how AI can help them achieve more revenue. Industry reports, especially, suggest it could have a multi-trillion-dollar impact on the global economy [1].
Even so, AI does not benefit every company or work in the same way. For example, McKinsey says that Artificial intelligence could add $13 trillion to global output by 2030 [2].
However, the benefits will not be distributed in the same way. In fact, there would be even bigger gaps between tech-rich and tech-poor economies [2]. Top AI users in marketing could see about 20-25% extra economic wins by 2030.
In contrast, developing nations already using AI might get 5-15% [2]. The U.S is an example of a high-income, technology-driven market. Therefore, firms in the country have already started going big on AI in marketing. In contrast, Armenia is a smaller market with an even smaller online consumer base. Hence, companies in markets like Armenia are adopting AI at a much slower pace, which can also lower the results they see.
The benefits of AI depend on factors such as market size, digital infrastructure, resource availability, and the readiness of institutions to embrace change. Policy makers and business leaders must pay attention to these differences. This is because, without thoughtful and intentional planning, AI in marketing can hurt outcomes.
This paper checks AI’s sales and marketing effects in the US and Armenian e-commerce and retail. The US already leads, with companies spending far more on AI for marketing. Armenia, on the other hand, grows digitally more slowly. By matching Armenia to the US, we can examine how AI in marketing drives value at both macro and micro levels. The paper will also analyze the factors and conditions that shape AI’s impact on marketing at both levels.
We begin with a literature review of reputable sources, including the OECD, the McKinsey Global Institute, and UNCTAD. We want to see how small and medium-sized enterprises (SMEs) are embracing digitization, the rate at which they are adopting AI, and how we can model the economic changes these technologies bring. We will also approach that connects key marketing indicators (KPIs) to revenue. The focus of this paper is on click‑through rate (CTR), conversion rate (CVR), and average order value (AOV). We map paths to AI use and test how key factors shift with changes. Results will show some illustrative, hypothetical numbers. We detail how CTR and CVR gains lift sales in various countries. We also assessed return on investment (ROI). We look at the AI spending habits of U.S. and Armenian firms. Discussion ties results to real uses. We match big global retailers against small markets and SMEs. The paper covers the effects of strategy and policy. Finally, we wrap up with the main lessons, limitations, and next steps. This would include how these insights touch other fields, the impact on the workforce, and AI ethics in marketing.
Literature Review
AI in Marketing: Promise and Early Impacts
Artificial intelligence adds custom personalization, automation, and smarter choices to marketing and sales. Now, generative AI and machine learning can make content. They aid dynamic pricing, product suggestions based on customer needs, and buyer groups. Marketers speed up and serve customers better. A McKinsey study notes top AI users gain 3-15% more sales and 10-20% higher marketing ROI [3]. The study talked about the benefits of auto lead care at scale, better ad aims, and custom content or deals. This boosts CTR and CVR.
IBM, BCG, and Deloitte studies confirm these findings [4] [5] [6]. BCG’s 2024 survey found that AI marketing users grew sales 1.5 times faster than non-users. They saw returns 1.4 times higher over 3 years vs rivals [6].
IBM’s report says over 71% of buyers like tailored content [7]. AI custom tools can also bring 6-10% sales jumps and 25% better marketing ROI [8]. The right message to the right person at the right time lifts engagement. Amazon’s AI recommender proves it. It suggests items by shopping habits and likes. Amazon says 35% of marketplace buys come from it [9]. Tailored add-ons mean more sales. AI ad tweaks work well too. Amazon’s 2023 AI image tool lets advertisers make fitting product pics. Engagement rose 40% [9].
Cases like Amazon’s, along with other big firms, show that AI marketing pays off big. But issues exist. Top firms gain returns, yet many fail to profit from AI spending. Some stay in tests or face roadblocks. Also, only 25% of the Deloitte and Gartner study achieve real gains beyond trials. Almost 74% of respondents see no returns from AI [6]. In marketing, issues such as insufficient data, skill gaps, and integration challenges make it harder to use AI correctly [10] [11]. A 2025 Deloitte report pins two-thirds of failures on low staff know-how [12].
A 2023 poll also shows that only 47% of companies had seen profits. That said, about a third are only just breaking even, and 14% have lost money [5]. These statistics are eye-opening. As a result, AI takes longer than hoped to deliver ROI, and sometimes it can fail to scale. This gap shows that the gains AI can bring in theory do not always translate to real results for many companies [5]. Consequently, a fresh Gartner study shows that 45% of leaders in organizations with high AI maturity keep their AI live for up to three years before they can see any sustained impact or value [13].
Data readiness is one of the top barriers stopping these companies from achieving results with AI. 40% of companies say that flaws in their data are one of the biggest challenges [11]. Other challenges include a lack of talent and skills, resistance to change within organizations, and the struggle to change how they operate through AI solutions. Take an e-commerce retailer that lacks an end-to-end view of its customer data or trustworthy insights into customer behavior. Even the most sophisticated AI solutions won’t help such a situation. Moreover, smaller marketing teams often lack data scientists to optimize AI models or the budget to run enough experiments. These are the reasons they struggle to implement AI into their business operations. As a result, while industry leaders are reaping massive benefits, others chase empty wins [14].
SME Digitization and Digital Readiness Across Countries
Small and medium-sized enterprises (SMEs) form the core of many economies. Over 99.9% of businesses in Armenia are SMEs [15]. They also make up a large share of the U.S. economy. SMEs also struggle to embrace advanced technologies as much as larger companies do. Specifically, the OECD’s 2023 statistics indicate that only one-third of member-country SMEs have adopted any AI software [16]. This means much smaller SMEs (with fewer than 10 employees) have an even bleaker situation [16]. In contrast, big companies are already using AI because they have the budget and can attract top professionals.
The OECD “AI early divides” report (2025) says large firms and knowledge-heavy sectors are well ahead of smaller ones in AI use. They show more capacity and digital maturity [17]. For example, only 9% of UK firms had used AI by 2023. Counting employment, the numbers grew to 32% because of bigger firms [18]. The U.S also mirrors this. As of early 2025, only 8.5% of firms in the U.S use AI, and they are mainly larger companies [18]. These figures highlight how larger players can more easily adopt AI than smaller ones.
Several obstacles are holding SMEs back from jumping on the AI bandwagon. The biggest is financial costs needed for data infrastructure and training their staff. OECDs also feel learning about new AI tools is complex and difficult [18]. This is because these smaller businesses struggle to choose from the sea of AI software solutions making the entire situation overwhelming. They also cannot afford In-house IT experts. This brings a different set of hurdles such as (1) Complexity – some tools are not user-friendly or do not fit well with how SME operate; (2) Over choice – too many options makes it harder to find what’s suitable; and (3) Skills gaps – many businesses lack the training and experts that can use AI effectively [18]. It’s no wonder many SMEs do know that AI is important but struggle to get started. A European Investment Bank also says that 68% of SMEs see the need for digitization in their future, only 29% have been able to keep up pace [19]. The situation is similar in Armenia and many other rising markets. In these markets, awareness is higher, but adoption is slow.
Armenia has recently created a clearer digital part. Its 2021-2025 National Digital Plan pushes digital transformation which is why there has been some growth recently. According to OECD data, the Armenian tech sector grew by 20% in 2022 [20]. However, compared with larger domestic companies and SMEs in developed economies, Armenia’s digitalization is still slow [15]. Many Armenian SMEs still use the basics like computers and email. Many have not yet begun using advanced technology like analytics, or e-commerce platforms [20].
No doubt, Armenia faces the same roadblocks as other nations. But its smaller economy worsens the issues. Local firms, in their own areas, also face weaker internet and the issue of complex regulations, such as complicated e-signature processes or underdeveloped digital commerce laws. Armenian e-commerce firms don’t also have a lot of access to funding or workers with the digital know-how [15]. Besides that, culture and people’s resistance to change or concerns about privacy and cyber threats are also concerns to consider [15]. UNCTAD’s data on e-commerce readiness shows countries like Armenia are still working to catch up [21].
Take the UNCTAD B2C E-commerce Index which measures internet use, payment, and delivery infrastructure, etc. Armenia currently has the rankings of 36.6/100 (about 87th globally) in the mid-2010s. At the time, the United States scored 82.6/100 (ranked 11th) [22]
Even if both have grown since that data was pulled, the gap persists because of their starting point in terms of digital ecosystem maturity. There is also not a lot of literature on smaller success studies. But the general theme is that SMEs can’t properly use AI for marketing without proper support.
Economic Impact Modeling of AI Adoption Across Countries
Economists and policy analysts are eager to measure how adopting AI has affected the global economy. But they often rely on models that only simulate the rate of AI adoption across countries or sectors. One such study is the 2018 McKinsey Global Institute report titled “Notes from the AI Frontier [2].”
This report was one of the first to map AI’s potential global economic effects [2]. According to their projects, if AI adoption continues at a steady pace, we could see a boost in global GDP of around $13 trillion by 2030. That is roughly an extra 1.2 percentage points of GDP growth worldwide per year [2]. Many other papers have quoted this study as proof of AI’s economic potential. It also matches AI’s disruptive nature with other groundbreaking situations like
the steam engine or the internet.
However, one takeaway from this and similar models is that AI’s impact is uneven. In fact, it follows the S-curve diffusion pattern. Thus, not many companies invest at the beginning because it’s not easy to learn or purchase the infrastructure. But then, it picks up speed early as the top leaders grab more wins before the technology spreads wide [2]. Countries and companies that move early up this adoption curve will get the most rewards. McKinsey’s models also talk about this growing divide. The report shows that leading nations with advanced economies and strong innovation would gain 20–25% extra benefits by 2030. In contrast, developing countries might only see 5–15% more [2]. The reasoning is that developed economies adopt AI more quickly. These leading nations also have complementary factors, such as a skilled workforce and robust digital infrastructure. All of that enables AI to improve productivity significantly.
In contrast, developing economies often rely on cheap labor and catch-up paths like factories. That said, for developing countries, such factors also slow down the benefits they would see from AI [2]. Also, developing countries experience slower AI adoption because they don’t have greater budgets and access to skilled professionals. Hence, AI’s impact would be low for the time being. The OECD also shares worries about the “winner takes all” scenario that this creates.
A recent OECD paper on AI users (Calvino et al., 2023) found that companies with data and skilled workers gain the most from AI. This grows the divide between top companies and those left behind [23]. At the country level, the U.S. leads with its big firms and strong digital setup. It grabs AI gains first. Armenia lacks resources. So, the country would see only minor gains unless there are plans to avoid these problems. UNCTAD’s “Technology and Innovation Report 2025” says AI benefits need smart plans for all to share them [24]. By 2025, less than one-third of developing nations have AI strategies. But 118 countries lack spots in global AI governance talks [25]. Such gaps would delay their AI benefits.
Reports show developing countries with good adoption plans will win enormously from AI. Factors like labor automation, new ideas coming up, and the creation of new markets through AI could eventually help smaller markets [2]. For example, AI could help Armenian businesses reach more customers outside of their country through digital platforms. Think of how AI-driven marketing can help export Armenian products to diaspora communities globally.
“AI readiness” scores now rank nations based on their AI use. The U.S leads because of its robust R&D spending, skilled talent, and thriving tech industry. In contrast, Armenia’ ranks low because of weak research, data, and business ideas.
One global AI index says Armenia and its Caucasus neighbors lag global leaders on using AI [26]. This CMS Implement Consulting study stands out because there aren’t many works that have looked at how AI’s marketing affects different nations. Our work fills the hole by providing deeper comparisons of AI wins. Still, we could assume that sectors heavy on marketing like retail in countries with high digital use will always see AI’s impact. For example, the U.S online sales have already hit 19% since 2020 [27]. This set up also helped with the other benefits that AI brings like personalized shopping and automated customer service.
Globally, online sales rose 17% of retail in 2020, from 14% in 2019, thanks to COVID-19 [27]. It is still rising in richer markets. However, smaller markets like Armenia are slow, although there has been some growth. The government and international agencies (such as UNCTAD’s e-Trade for All initiative) are actively working to help Armenia catch up. But some people in Armenia still prefer cash on delivery and in-person shopping. This makes it difficult for AI to have as much effect on marketing yet. UNCTAD’s guidance for countries like Armenia is all about building better foundations like better internet access, payment systems, and consumer trust, while also exploring advanced technologies like AI [25].
No doubt, there is a big gap in how AI marketing affects the U.S. and Armenia. The U.S. has higher buyer size, digital infrastructure, and firms with skillsets already in place for wider AI use. Thus, it’s natural the U.S would see bigger output and growth.
Armenia is making progress. But the smaller market would make the impact much smaller. This comparison guides how we set up models for both countries. In the following section, we will link the improvements to wide economic shifts. We will focus on how increased click-through rates (CTR) or conversion rates (CVR) from AI leads to ROI and better growth outcomes while paying attention to the dynamics from each country.
Methodology
Analytical Framework Overview
Our methodology mixes marketing analytics approaches with economic models. It gauges AI’s pull on the e-commerce retail sector for the United States and Armenia. We use three steps:
- Link AI-driven Marketing Stats to Economic Gains: We make equations that tie key marketing performance metrics to economic outcomes. We will use click-through rate (CTR), conversion rate (CVR), and average order value (AOV) for sales and profit shifts. These metrics create a conversion funnel. This means CTR tracks ads or email clicks. CVR measures how clicks convert to purchases, and AOV tracks average transaction size. AI can improve each metric. For example, it targets better for CTR and suggests items for CVR and AOV. Our goal is to formalize these connections to quantify revenue uplift.
- Set Adoption Curves and Scenarios: We check how AI adoption rates vary by country. Adoption here means businesses that have been using AI tools for marketing over time. Literature shows adoption in marketing is a S-curve: slow start then fast. But speed levels are different. The U.S. gets a quick, high path from its lead and cash. Armenia gets a slow path from limits. We also test changes to speed, and AI’s effects on CTR/CVR/AOV. We aim to look at both optimistic and conservative situations.
- ROI and Break-Even Analysis: We use revenue growth and cost assumptions to find ROI on AI marketing in each context. We also calculate ROI in the usual way:
-

We then look at ROI shifts by cost levels. From cheap add-on AI features to pricey custom AI systems. We consider break-even costs for each country. This means the maximum investment cost that an AI marketing initiative can handle and still break even (ROI = 0, where benefits equal costs). The insights we get from this will show how Ai fits and costs in each country based on their expected gains.
Keep in mind that the analysis is hypothetical. This is also because there is only limited complex data, especially for Armenia. But our work draws from real reported industry statistics and reports. We will clearly map the relationships and testing scenarios to show the range of outcomes and see what sets the U.S apart from Armenia.
Linking CTR, CVR, AOV to Revenue: Formulas
Our marketing impact model uses a basic formula for e-commerce revenue:
Revenue =Impressions ×CTR ×CVR×AOV
This formula covers the full sales funnel:
- Impressions: The number of times people see a marketing message like ads or emails.
- CTR (Click-Through Rate): the percentage of impressions that get clicks. If 2 out of 100 people click an ad, CTR is 2%. Multiply Impressions by CTR to get clicks or visitors.
- CVR (Conversion Rate): is the share of clicks that lead to buys. if 5 out of 100 visitors buy something, CVR is 5%). When we multiply clicks by CVR, we get the total conversions (purchases).
- AOV (Average Order Value): is the average spend per conversion. Say $50 per cart. Then, we multiply buys by AOV to get total revenue.
AI steps in at different points of the sales funnel:
- Increasing CTR: AI targets a better audience. It makes ads more relevant to the viewers and grabs their attention. For example, Amazon’s AI image tool raised CTR by up to 40% [28].
- Increasing CVR: AI suggests better products to shoppers. It also sets smart dynamic pricing based on demand. Also, intelligent chatbots provide better customer support which reduces friction. The AI-powered system also matches quick offers to ready buyers. More visitors end up buying the products.
- Increasing AOV: AI suggests product bundles to customers. It tailors upsell as they shop, encouraging shoppers to add more to their cart. In turn, it raises the average purchase value.
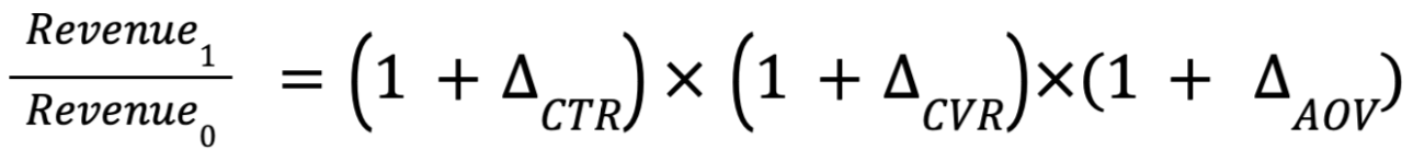
We track AI’s impact by comparing base metrics without AI (CTR₀, CVR₀, AOV₀) against new ones with AI (CTR₁, CVR₁, AOV₁). Industry data also gives good targets for these target gains. For example, CVR would rise because of personalized recommendations, or dynamic pricing might lift AOV slightly. We also assume AI creates new results:
- CTR₁ = CTR₀ × (1 + Δ_CTR)
- CVR₁ = CVR₀ × (1 + Δ_CVR)
- AOV₁ = AOV₀ × (1 + Δ_AOV)
Here, Δ_CTR, Δ_CVR, and Δ_AOV show the percentage gains that AI brings. For example, A Δ_CTR of 0.5, means 50% CTR growth. These metrics vary by country, due to data and buyer habits. But we start by assuming equal AI help in both places. Key gaps would come from how many businesses adopt AI and the size of their operations.
Using the revenue formula, AI’s relative revenue increase becomes:

This can be better expressed as:

Where:
- Revenue0 is the baseline (pre-AI) revenue.
- Δ_CTR, Δ_CVR, Δ_AOV are the proportional improvements in each metric (e.g., a 0.2 for a 20% increase).
Then, Absolute revenue increase is:

Gains stack up across the funnel. Say AI raises CTR by 50%, CVR by 20%, and AOV by 10%. The total factor: 1.5×1.2×1.1 ≈ 1.98. That’s almost double sales. Each gain multiplies the next.
This breaks down each metric’s role. Everyone adds to total revenue. CTR alone boosts +50%. CVR or AOV alone add roughly +10% each. Their combo adds ~18% more. Bigger CTR means more shots at sales.
We will use this in the Results section to show the CTR/CVR table. Also, note that AI might also grow impressions. It could free ad budgets or find new buyers. But we focus on quality lifts like CTR, CVR, AOV. We stay conservative. AI could scale campaigns for more reach too.
Adoption Curve and Scenario Design
We model adoption over a period of 5 years:
- The United States adopts AI fast. Just 10% of firms use it in marketing now. In 5 years, maybe 50% or more. Competition and cheap tools drive this. Off-the-shelf AI gets easier. Two-thirds of retailers plan more AI spend next year [28]. We can model U.S. adoption as an S-curve to high levels.
- Armenia will have a slower, lower adoption. At present, only one or two percent of firms use AI in marketing. In 5 years, it might reach 15-20%. The slower growth is due to the existing e-commerce use. Armenia might not reach U.S saturation without interventions.
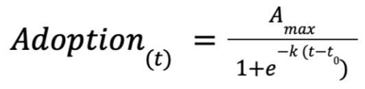
A standard S-curve function models this growth as the adoption rate at time (t) is given by:

Where:
- Amax is the maximum adoption level (saturation point).
- k is the growth rate parameter, determining the steepness of the curve.
- t0 is the inflection point, representing the midpoint of the most rapid growth.
We configure the functions based on maximum adoption levels and growth rates. For simplicity, we also use piecewise linear approximations, which reflect low adoption in the early years, followed by a jump. The US scenario will reach majority adoption by year 5, while Armenia will still be in the early stage by then. Note also that because we are estimating the aggregate economic effect for each country, thus the model scales the average performance improvement from the firm level to the national sector.
The timing difference means that the aggregate economic impact over the period will vary widely. Nevertheless, AI offers similar benefits to firms. But fewer firms in Armenia will benefit than in the U.S. We also multiply the per-firm improvements by the adoption rate to find the cumulative sector-level impact.
Essentially:

Where:
- Adoption Rate country (t) is the proportion of firms in the sector that have implemented AI marketing by time t, as derived from the logistic S-curve model.
- ⟨Per-Firm Revenue Uplift⟩ is the average incremental revenue gain for an adopting firm, calculated using the marketing funnel model:
-

This framework lets us track the time series of impact. It especially enables the projection of how phased technology diffusion, combined with proven per-unit gains, translates into macro-level economic growth for the e-commerce retail sector in each country. However, for clarity in this paper, we often focus on a “fully adopted” scenario to compare potentials. We also compare results at a common future date, which in this case is 5 years out.
We also implement sensitivity analyses on key assumptions:
- The magnitude of CTR/CVR improvements (Δ_CTR, Δ_CVR): What if AI delivers only half the expected gains? Or, what if new AI technology (e.g., more advanced generative AI for content) doubles the expected results?
- The adoption rates: Could a new policy boost Armenia’s adoption more than assumed? Or what if economic hurdles slow U.S. adoption?
- The cost of AI: Particularly relevant for ROI, we consider varying cost scenarios. Some AI tools can be relatively cheap (usage-based cloud services or features included in existing software), while others require a massive investment (hiring data scientists or custom model development). By testing different cost inputs, we examine how cost-sensitive the ROI is for each country.
ROI and Break-Even Calculations
Any business evaluating artificial intelligence (AI) in marketing will always check for ROI. This serves as the fundamental financial metric to make sure your investment costs are worthwhile. We calculate the ROI for AI marketing using the regular formula:

Where: incremental profit is the net financial gain directly attributed to the AI initiative. We calculate it as the additional revenue that AI-driven improvements bring about. Hence, it’s the left that we see in CTR, CVR, and AOV minus any associated increases in variable operating costs like the cost of goods sold or transaction fees. Thus, it excludes the actual cost of the AI tool or the project itself.
Also, this formula highlights the AI investment cost which is all direct expenditure for the AI marketing solution. This could be the software licensing feels, implementation services, staff or other infrastructure. For our analysis, we believe a gross profit margin on new revenue multiplied by the profit margin. For retail, we also assume a 20%-30% margin. This can be added to the ROI calculation as needed.
Next, we explore ROI using several cost categories:
- Low-cost scenario: This could involve. Using an affordable AI plugin or service. Such might cost only a few hundred dollars per month. They are suitable for SMEs just starting.
- Mid-cost scenario: This could require a moderate investment of a few thousand dollars. For instance, it might be the cost of an advanced platform subscription or hiring a consultant.
- High-cost scenario: This scenario requires tens of thousands of dollars. Hence, it might be used for custom solutions, software licenses, or hiring a dedicated AI team. This cost is feasible for large U.S. firms but not for smaller Armenian SMEs.
- Very high (for context): This often involves a major enterprise AI overhaul costing hundreds of thousands of dollars. We are including it only to find the break-even threshold for a U.S. big retailer.
For each cost level, we calculate ROI% in the U.S. and Armenia scenarios, based on the different profit outcomes from AI. We also find the break-even cost where ROI is 0 (no net gain). Therefore, if we rearrange the ROI formula for break-even:

This simplifies to the equilibrium condition:
Break-even Cost = Incremental Profit
This means that a firm should spend no more on AI than the profit it expects to gain. Spending less means positive ROI. Spending more, in contrast, means negative ROI. Note that we are ignoring time value and risk for now.
Break-even highlights country gaps. US firms pull bigger raw value from AI ads due to size. They can afford to spend more and still profit. Break-evens run higher. Armenia needs dirt-cheap tools. Their raw gains stay small despite rate jumping. Plots of ROI vs. cost show zero-cross points for each.
Finally, we ground our methods by using industry sources, such as McKinsey/BCG, to estimate typical ROI shifts. OECD/UNCTAD data will guide our understanding of digital adoption rates. We will also clearly state our assumptions when data is unavailable.
This analysis will focus solely on hypothetical scenarios. Even so, we have designed it to be fully transparent and reproducible. Hence, one could update the input parameters with real data from a particular firm or country as it becomes available to improve the results.
We have now set up our methodological framework. The next step is Extended Results, where we apply these formulas to calculate the business impact. We focus on the retail e-commerce markets of the U.S. and Armenia. The results feature illustrative tables and charts. These visuals show exactly how AI changes click-through rates (CTR) and conversion rates (CVR). We also display the return on investment (ROI) at several price points for both nations.
Results
AI Impact on Marketing Funnel Metrics: CTR and CVR Decomposition
We must show how AI-driven improvements in marketing performance convert to real gains. Hence, we created a hypothetical scenario for an e-commerce retail business in each country (the U.S. and Armenia). Table 1 summarizes the baseline metrics (without AI) and projected metrics with AI. It also shows the resulting conversions and revenues, without AI. While purely illustrative, the numbers we chose represent a mid-sized online retailer in each market.
Table 1. Hypothetical CTR and CVR Impact Decomposition for a U.S. and Armenian Retailer (Baseline vs. AI-augmented scenario, one-year period):
|
Metric |
USA (Baseline) |
USA (With AI) |
Armenia (Baseline) |
Armenia (With AI) |
|
Marketing Impressions (annual) |
100,000 |
100,000 |
20,000 |
20,000 |
|
Click-Through Rate (CTR) |
2.0% |
3.0% (+50%) |
1.5% |
2.0% (+33%) |
|
Conversion Rate (CVR) |
5.0% |
6.0% (+20%) |
3.0% |
4.0% (+33%) |
|
Average Order Value (AOV) |
$50 |
$55 (+10%) |
$30 |
$32 (+7%) |
|
Conversions (purchases) |
100 |
180 |
9 |
16 |
|
Total Revenue |
$5,000 |
$9,900 |
$270 |
$512 |
|
Incremental Revenue (Abs.) |
– |
+$4,900 |
– |
+$242 |
|
Incremental Revenue (%) |
– |
+98% |
– |
+90% |
Assumptions: Both retailers have the same number of annual ad impressions to simplify the comparison. However, U.S. retailers start with a higher baseline CTR, CVR, and AOV, reflecting a more mature operation. Remember, this mid-sized online store in the US is likely to offer better website experience and higher spending per customer. The “With AI” scenario applies improvements roughly in line with industry cases. The U.S. firm sees CTR rise by one percentage point (a 50% relative increase) thanks to better targeting and creative optimization. CVR also rises by 1 point (a 20% relative increase) due to personalization (recommendations, etc.). Subsequently, AOV rises by 10% through personalized upselling. In contrast, the Armenian firm starts with a lower base rate. Also, online retailers in the country would see a more minor absolute CTR increase (0.5 points, or +33%), a 1-point CVR increase (+33%), and a modest AOV bump (~7%). These differences are essential. They show that the small Armenian market may not be as optimized, even though there is still a relative boost.
Looking at Table 1, both countries’ retailers achieve significant benefits from AI. They both nearly double their annual revenue in this scenario. The U.S. retailer’s revenue increases from $5,000 to $9,900 (+98%). The Armenian retailer also goes from $270 to $512 (+90%). It is worth noting that the U.S. business gained almost $4,900 in new revenue, while the Armenian business gained only $242. We expect this pattern because the U.S baseline scale is much larger. Therefore, this gives rise to the point. Even if AI delivers the same relative improvement, the dollar impact is smaller in a smaller market. It would, in turn, affect the willingness of smaller businesses to invest in such technology. We will explore this in the ROI analysis.
The table also allows a breakdown of where the gains come from:
- The CTR improvement had a considerable effect. In the U.S., CTR went from 2% to 3%. This means that for the same 100k impressions, clicks increased from 2,000 to 3,000. Suppose we held other factors constant, that 50% increase in clicks would have generated roughly $2,500 in extra revenue (from $5k to $7.5k). We can say that AI-driven targeting and better ad visuals pulled more people into the funnel. In Armenia, the CTR increased (1.5% to 2.0%), leading to ~33% more clicks (300 up to 400 clicks on 20k impressions). In turn, this contributed significantly to the ~$242 gain.
- The CVR improvement further improved the outcomes. The U.S. conversion rate rose from 5% to 6%, meaning that. The higher number of clicks led to more purchases. If only CVR had been the metric to improve and CTR stayed at 2%, revenue would have gone from $5,000 to $6,000 (+20%). In our combined scenario, CVR and CTR overlap because additional clicks also convert at a higher rate. For Armenia, going from 3% to 4% CVR (33% improvement) is massive. This is because only nine purchases occurred at baseline. Therefore, the 1-point increase in CVR led to a few additional purchases from the limited traffic.
- The AOV increase had a more minor but non-negligible impact. AOV rose 10% (from $50 to $55) in the U.S. This increase alone would have added $500 to revenue (all else equal). In Armenia, a $2 increase on a $30 base (≈7%) added a bit of revenue. AI-driven personalization often yields modest AOV bumps through better product recommendations or bundling. However, these can compound with volume gains.
One key point stands out on how changes interact. Improving all metrics together gives a bit more gain than their individual effects. Changes build on each other. For example, a higher click rate ups the odds of better conversion rates. Those new sales also bring more cash due to higher average order value. Take the U.S. case alone. The sum of isolated contributions (approx. +$2,500 from CTR, +$1,000 from CVR, +$500 from AOV) equals +$4,000. However, when they work together, the combined effect hits +$4,900. That extra ~$900 comes from their teamwork.
In percentage terms, it would be:
$ 1.50 ×1.20 ×1.10-1×100%=98%
This result is significantly greater than the 80% derived from simply summing the individual rate increases 10%.
In Armenia, the small base means big percent jumps add only a few bucks. So, interactions bring just extra dollars there.
Two key lessons come from this:
- AI can significantly improve every step of the marketing funnel, and the benefits multiply. For a large market player, moderate percentage gains can nearly double revenue. This shows AI’s power when used holistically (targeting, personalization, pricing, etc.).
- Scale matters in absolute terms. The U.S. firm gained nearly $5k from the improvements, with the same ad volume that earned the Armenian firm $242. A larger customer base and higher baseline spend mean AI’s percentage gains translate into massive dollar amounts in the U.S. This fact will be important when justifying investment costs.
ROI and Break-Even Analysis Across Cost Tiers
While increasing revenue is significant, companies will only pursue AI in marketing if it is cost-effective. We now consider the ROI of implementing AI in each retailer’s marketing processes under different cost scenarios. For this analysis, we assume the following:
- The incremental profit from the revenue gains can be approximated by applying a profit margin. If we assume, say, a 20% profit margin on additional sales (after cost of goods, fulfillment, etc.), then the U.S. retailer’s $4,900 revenue is about $980 in extra profit. The Armenian retailer’s $242 increase yields about $48 in profit. Note that the relative scale of the profit remains the same even when the margins differ.
- We consider the annual cost of an AI marketing solution or project and compare it to the yearly profit gain. These costs include software subscriptions, consultancy or employee expenses, and data infrastructure proportional to the project’s scope.

Figure 1: The chat shows ROI (%) as a function of annual AI investment cost in marketing for the U.S. vs. the Armenian retailer. It graphs ROI for each across cost ranges. Where lines cross the zero-line marks break-even (ROI = 0, no net win). Blue is a U.S. store, orange is Armenia. The U.S. shop handles much higher costs and stays in the black. Armenia needs very low costs for positive ROI. (Hypothetical data from Table 1: $980 U.S. profit, $48 Armenia profit.)
In Figure 1, the U.S. ROI line starts very high at low costs and declines as costs increase (an inverse relationship). Thus, it crosses below 0% ROI at a much higher price than the Armenia line:
- For low AI costs – Let’s say an AI tool costs only $100 per year (an extremely low figure, which could be a minor feature add-on). The U.S. retailer’s ROI would approximately

Even at $500 per year, ROI for the U.S. case is about +(980-500)/500 ≈ +96%. Hence, the U.S. retailer would gain almost double their investment, making AI worthwhile for them, given the $980 profit.
- The break-even point for the U.S. retailer occurs when cost equals $980 (the incremental profit). At an annual fee of around $980, ROI = 0%. In the chart, we marked this around $1000 where the blue line crosses zero. If the AI solution cost is less than $980/year, they have a positive net profit. In contrast, if it costs more, they lose profit. Many AI solutions for mid-sized companies might cost in the low thousands per year. So, a U.S. firm would find an offering up to that price point worthwhile. This aligns with the idea that larger firms can afford substantial tech budgets. For example, spending $10k might be acceptable if the expected profit is about $15k.
- For Armenia’s retailers, the ROI is already negative if they spend $ 100 per year. Note the calculation,

In fact, to have a positive ROI, the cost must be below $48/year (the incremental profit). The break-even is essentially at $48/year, which is extremely low. At, say, a token cost of $50, the project would roughly break even (slightly negative ROI). It is only when they can find an AI tool at hypothetically $20/year that the Armenian firm sees a high ROI (e.g., at $20 cost, ROI ≈ +140%). But such a cost is unrealistic because no meaningful AI service costs that low. Even the most basic subscriptions might cost at least a few hundred dollars. Thus, the orange line in Figure 1 shows ROI plummeting into negative territory at any moderate cost. At a $500/year cost, the ROI for Armenia would be dramatically negative (-90%). This indicates that, unless AI solutions become extremely cheap or Armenian firms’ profit margins increase (through either larger scale or greater effectiveness), it’s hard for a small Armenian retailer to financially justify investing in AI at all under the current scenario.
This ROI and break-even analysis show how the usefulness of AI is different for both economies:
- A U.S. retailer, enjoying nearly $1k extra profit from AI, could spend up to $1k yearly on AI and still break even. This means the U.S retailer can purchase many SaaS AI tools and even hire a part-time data analyst, because the costs are sensible for them. Hence, AI adoption makes good business sense for them. For example, a marketing AI platform that costs $500/month ($6,000/year) would clearly be too expensive in our simplified case (ROI would be ~ ($980-$6000)/$6000 = -84%). However, bigger U.S retailers see millions in profit. They can easily make six-figure tech investments.
- Armenia faces a different issue. The break-even cost is close to zero. Small businesses would have to use free AI tools, which often means using free services, open-source tools, or AI capabilities built into existing platforms they already use. Alternatively, they might need government help or development grants to cover the costs. Without external support, it would be rational for Armenian firms to wait. This aligns with what we commonly see. Many SMEs in developing markets wait to adopt advanced technology until the tool is proven and cheap. OECD’s James Vincent pointed out that simplifying access and subsidizing experimentation would lower barriers for SMEs [29]. Our finding confirms the fact that if the cost isn’t practically zero, an SME in a tiny market might not see a return.

Figure 2
Figure 2. Projected AI adoption curves in marketing for the U.S. vs. Armenia. The U.S. adoption curve rises more quickly and saturates at a higher level. It reflects rapid use and higher digital readiness. Armenia’s adoption rate is slower. It also leveled off at a much lower level because they continue to face problems adopting AI tools. The speed differences affect the total economic results. Firms in both countries might see the same percentage increase. However, many more U.S. companies would adopt AI because it delivers even greater benefits.
It’s important to note that these ROI figures are based on one year of returns. What if we consider a longer team or a strategic value? A company might invest even if the first-year ROI is low or negative. In this case, they expect gains to grow over time as AI usage scales or the market expands. For example, Armenia’s e-commerce market could grow. This would make those percentage improvements translate to more dollars in the future. Also, we assumed a static profit margin would stay the same if AI-driven efficiency also cuts costs (not just increases revenue). Cutting costs would increase ROI. For instance, AI chatbots not only boost sales but also handle support queries. This can potentially save on customer service expenses, thereby increasing the benefit quickly.
We did a brief sensitivity check. What if the Armenian retailer had a 40 percent profit margin instead of 20 percent? They may have low overhead costs. The extra profit would be $97 (40% of $242), which is still low. But there is a little more room to spend.
In the same way, what if the U.S retailer had only a 10 percent margin? This could happen because of competitive pricing. In that situation, the profit gain drops to $490. Their break-even cost is also around $490. Hence, they could not justify spending as before. Therefore, profitability in an entire sector can influence ROI math.
Intangible benefits are also another key aspect. AI in marketing could offer better customer insights. It also creates valuable data assets and helps the company’s standing against rivals. These intangible benefits don’t show up in the first year’s profit report. Therefore, a U.S. firm can invest considering these strategic benefits. They might desire to fight off competitors. Perhaps they also want to learn faster than others. An Armenian firm might also adopt AI early for those reasons. Maybe they want to build up their tech capabilities. They might also want to achieve better export potential. This can happen even if the short-term ROI is low. These qualitative factors are not considered in our numbers, but they also matter. We will discuss them in the Implications section.
In summary, the results confirm a few things quantitatively:
- Both U.S. and Armenian retailers can see huge percentage improvements in marketing outcomes from AI (90%+ revenue boosts in our scenario). This confirms the transformative potential of AI on the marketing funnel in both contexts. AI technology works and improves performance no matter where it is applied.
- The absolute gains and ROI, however, differ dramatically. The U.S. scenario pays off enough to easily cover moderate AI costs. The Armenian retailer, in contrast, would struggle to justify even small costs. They only break even at tiny spending levels. This financial reason is why smaller companies adopt AI slowly. Therefore, Armenian retailers are not adopting solely because of a lack of knowledge. The immediate profit reward is weak or non-existent. This also raises a particular risk. If AI in marketing needs scale to be worthwhile, smaller players may fall behind. Only large firms would adopt AI and improve constantly. This would increase market concentration, as a few large companies would end up controlling most digital gains [25].
In the next section, we discuss these findings in the real world to consider broader implications. Our goal is to connect our hypothetical analysis to the practical problems businesses, in large and small markets, face when implementing AI in marketing.
Discussion
Our comparative analysis of AI’s marketing impact in the United States and Armenia yields many insights that align with the success stories and cautionary tales seen in business today. We find that AI can be a powerful tool for better marketing performance. However, the scale of benefits depends heavily on the business environment. Below, we further connect our numbers to real use cases for large and small adopters.
Large-Scale Implementation: High Rewards and Competitive Necessity
Our study shows that advanced markets like the U.S see large marketing yields and high ROI under reasonable cost assumptions. This matches the successful case studies published by many global retail leaders. A great example is Amazon’s AI-driven ads, which improved CTR by up to 40% (as noted earlier) [9]. Starbucks is also a famous success story. The global retailer uses an AI called Deep Brew to personalize promotions for customers in its app. Starbucks credits AI personalization with higher customer engagement. It also boosts revenue per customer. Precise figures are secret, of course. Nike and H&M use AI to analyze customer data. They tailor their marketing and inventory. This leads to higher conversion rates. It results in more full-price sales. Nike’s investor reports suggest digital sales shot up after they adopted AI [30]..
These examples from the companies offer insights into how AI has become necessary in large markets and are essential to remain competitive. A McKinsey article (2023) on generative AI in marketing noted that “winning companies” are those aggressively investing in AI. These companies can hyper-personalize customer outreach and optimize the entire funnel [3]. They also grow faster because the gains they achieve can be measured. They also often reinvest those gains to achieve even greater growth, creating a virtuous cycle.
Our ROI analysis showed that U.S. firms have a healthy surplus because their breakeven costs are very low compared to their potential budgets. This also explains how they keep investing. Every successful AI project creates profit. That profit funds the next project. Thus, they can adopt AI and other tech to become self-sustaining, which is a strategic way to lead the market.
This is also why large companies no longer ask, “Should we invest in AI?” Instead, their discussions are all about “How do we scale AI faster and manage organizational change?” Most leaders already feel good about AI. A McKinsey Global Survey found that respondents expect AI to help throughout their customer journey [3]. However, they are also careful because other real issues shape the impact they achieve. For example, AI must integrate with its legacy systems and workflows. They must also ensure data governance. Most importantly, they need cross-functional teams that can leverage AI outputs in their marketing strategy.
Even so, successful companies follow a clear plan. These organizations set aside dedicated resources (people, data, and budget) alongside clear AI strategies. They also deploy AI in small steps, beginning with fast, high-value projects for quick wins. Then they expand to bigger programs.
From a competitive standpoint, implementing AI on a scale gives these companies the edge over their rivals. This creates a gap between leaders and those they leave behind [25]. Let’s say Company A’s marketing is 20% more efficient and effective thanks to AI. Then it can acquire customers more cheaply and retain them better, forcing Company B to either adopt AI itself or lose share. We’re already seeing this in sectors like online retail and consumer finance. AI-powered fintech and e-commerce companies are winning in terms of customer acquisition. UNCTAD (2023) warns of “a few global tech giants controlling most data flows and digital revenues.” Thus, AI could reinforce power dynamics in which larger companies continue to grow [31]. Our findings confirm the concern: big players can justify investing in AI (given high ROI), which then propels further growth. In contrast, smaller players struggle to afford the initial investment and fall behind.
Small-Market Implementation: Challenges and Creative Approaches
For a small market like Armenia, the discussion is quite different. Our analysis showed that even when AI can nearly double a small retailer’s revenue, the resulting cash gain remains low. This means getting the initial return on investment is hard unless costs can be minimized. This is why we see slow AI adoption in such contexts. Armenian businesses like SMEs in many countries often adopt a “wait-and-see” approach to new technologies [9]. Their limited budget means they focus on core operational needs rather than experimental tech. Our findings confirm that their fear of losing money or the negative ROI is valid. Spending a few thousand dollars on AI for these companies is a huge risk. They need market demand to recoup their costs.
However, this does not mean small-market firms are absent from AI in marketing. There are notable early adopters and workarounds:
- Many Armenian companies leverage third-party platforms with built-in AI. For example, an Armenian online store could use Facebook/Instagram ads, which automatically means they are using AI to target lookalike audiences. Here, the SME benefits from AI indirectly without developing it. Essentially, they piggyback on Facebook or Instagram’s AI capabilities at a lower cost. Similarly, using Shopify or other e-commerce platforms allows the Armenian online store to access other AI-driven features. This includes product recommendation plugins, chatbots, or email marketing optimization. Such an approach spreads AI development costs across thousands of users, making it affordable.
- There have been some local initiatives and case studies. One Armenian online retailer, for instance (anecdotally reported in tech community forums), used a free, open-source AI program to create a chatbot for their customers in both Armenian and English. They were able to improve response times and conversions slightly. The cost of running the cloud is very low. Another example is Armenian banks using AI-based systems to send custom offers in their mobile banking apps. This is because the banking sector often uses AI for marketing analytics. These examples are not well-documented academically, but they suggest pockets of innovation. These small businesses win by focusing on cost-effective AI tools. They prioritize open-source, cloud-based, and value-added platforms that can provide clear benefits. Thus, they fix some things by hand and add a service that was missing before.
- Government and international organizations have started programs to support digital marketing and AI for SMEs. Groups like EU4Digital train businesses on data and online marketing [32]. Such programs sometimes fund the initial implementation of digital tools for selected firms, effectively subsidizing the cost and improving ROI. While not on a large scale, there is a path forward. These programs help lower the financial barrier and build local success stories, which can encourage broader adoption.
We can also cross-reference with implementation cases in other small markets. For instance, in parts of Southeast Asia and Eastern Europe, small tourism businesses have used AI-driven travel marketplaces to reach global customers. Local retailers have even joined e-commerce platforms (like an “Armenian Amazon” equivalent) that handle AI-powered marketing centrally. The main points here are collaboration and shared platforms. Individual SMEs cannot afford AI on their own. However, if they work together or use a platform, they can still enjoy the benefits. This aligns with UNCTAD’s emphasis on inclusive technology frameworks. For example, a recommendation that shared AI infrastructure or open data could democratize benefits [25].
Our discussion is not complete without mentioning the human factor in small markets. Armenian businesses, often family-run, may have concerns beyond ROI. They might worry about trusting the technology itself or finding local staff to maintain AI tools. Data privacy is also a big deal if they use foreign cloud services. An ICSB article described how a UK charity initially resisted AI due to ethical and privacy concerns [29]. However, by being transparent and addressing these biases, that organization eventually adopted AI. In Armenia, too, building trust and understanding is critical. Business owners should not be made to feel like AI is a mysterious black box that would alienate customers or risk their private data. This is why there is a need for local tech community meetups and success stories to make AI easier to understand. Indeed, Armenia’s tech community is growing. Some of those well-known startups listed on EVN Report (PicsArt, etc.) focus on AI [33]. While those serve global markets, they also help build the knowledge base that can reach the traditional businesses over time.
Bridging the Gap: Policy and Strategy Implications
The difference in AI marketing returns between large and small markets is clear. This gap also provides policymakers and support organizations with a path for action:
- Subsidies and Incentives: Governments could provide tax credits, grants, or public-private partnerships to make it more affordable for SMEs. For example, funding a program lets small firms test AI-based marketing software for free. If, as in our model, a firm needs AI to be almost free to be worthwhile, then subsidies achieve that goal. Armenia’s government already works on digital innovation grants for small businesses.
- Shared Services: Industry associations or chambers of commerce could create shared marketing data cooperatives or AI services. Thus, member SMEs can use them together. Picture a group of small retailers pooling data to train a recommendation system that any member can use on their website. This strategy shares the costs and scale of data. This approach builds on old business models that these cooperatives already use. However, applying for AI would be a fresh idea.
- Training and Education: Many small businesses do not adopt AI because they lack expertise. Our results show an economic challenge, but even if the cost was low, many wouldn’t know where to start. Training programs help these small firms and marketers understand how to implement simple AI features [29]. For example, they can begin with simple automation or the AI features in Google Analytics. Building digital confidence and skills turns perceived complexity into manageable projects. The ICSB piece noted that when SME leaders get hands-on, they eagerly lead digital change [29].
- Localized AI Solutions: Local tech firms also need to develop AI tools tailored to small markets and languages. For instance, they can create specialized software, like Armenian-language NLP for writing marketing content, or AI trained on local consumer behavior. This would improve effectiveness and reduce reliance on expensive foreign software. When AI tools are more effective, the Δ_CTR or Δ_CVR could be larger than we assumed, increasing the benefit side of the ROI equation. Some Armenian AI startups already exist. For example, Krisp focuses on noise-cancellation AI, and SuperAnnotate is an AI data platform (evenreport.com). These Armenian startups do not focus on marketing. But they show the talent and potential to pivot local marketing solutions.
The economics of AI adoption are also evolving globally. What is considered costly and complex today would become cheap and common tomorrow. This is the cost-benefit balance shift. Cloud computing and open-source AI are also driving down overall costs. If, in a few years, AI marketing tools become standard software features, small firms would get them for “free.” That would automatically improve ROI. This optimistic view is possible. For instance, small businesses already use open-source generative AI models for copywriting or ad generation at near-zero cost. In 2022, that would have required an expensive subscription to a service. Democratization of AI tools makes the playing field more equal.
Connection to Labor and Ethical Considerations
Although outside the scope of our quantitative model, we must discuss how these AI marketing implementations affect the labor market and ethical landscape. This is because they feed back into economic impact and adoption decisions:
- Labor Market Effects: In large firms, AI in marketing supports marketing teams rather than replacing them (at least so far). AI automates tasks like basic copywriting, A/B test design, and data analysis. This can boost productivity (20–30% productivity gains were reported by McKinsey [34]. With that, marketers can focus on strategy and creative work. However, if one marketer armed with AI can do the work of a team, there may be concerns about job consolidation. Our study doesn’t directly model employment. However, experts, such as UNCTAD, warn that up to 40% of jobs could be affected by AI [25]. In the U.S., where digital marketing is a major profession, these professionals must continuously reskill. They need to become “AI orchestrators” who guide AI tools. In Armenia, the marketing sector workforce is smaller. However, AI creates new opportunities for digital marketing specialists who know AI and can adapt AI tools to Armenian businesses. AI integration also affects brain drain or brain gain dynamics. For instance, if local companies don’t adopt AI, skilled professionals might leave. In the same way, the successful integration of AI could help innovative local firms scale and retain talent.
- Ethical and Governance Issues: As AI increasingly takes on marketing decisions, ethical corners grow. Personalized marketing can easily become manipulation if unchecked. For example, AI algorithms might exclude specific demographics, raising fairness concerns. In a big market, this could attract regulatory scrutiny. The EU is working on rules for automated decision-making in advertising. Our analysis assumed that AI just improves efficiency. However, misuse leads to trust erosion or regulatory fines, which would subtract value. In the U.S., companies are increasingly aware of the need for ethical AI practices. They must ensure transparency, avoid bias in customer data use, and respect privacy (especially given laws like GDPR and CCPA that affect marketing). Some big retailers have even stopped using AI tools that have biased outcomes. In Armenia, data governance frameworks are still developing. Therefore, businesses such as markets don’t face much oversight now. However, any blatant misuse, such as violating customer privacy or spamming with AI-generated content, would quickly alienate a small customer base. So, sustainable AI impact requires responsible use.
- Security problems: Using AI SaaS tools implies sharing data with third parties. This is a concern for companies worldwide. There must be a way to protect customer data and ensure AI outputs are accurate. For example, Chatbots should not provide customers with incorrect or harmful information. All of that is part of the governance challenge. UNCTAD wants inclusive global AI governance. They argue that developing nations need help writing the rules that work for them [35]. Suppose global e-commerce platforms implement AI in ways that harm sellers from small countries. For example, algorithms favoring those with larger datasets could harm Armenia’s participants. Having a say in governance stops such risks.
Overall, the discussion shows AI promises better marketing and economic gains. However, achieving those results reasonably requires more than technology – it requires smart strategy, supportive policy, and ethical rules. Big retailers should scale AI thoughtfully. They must combine human creativity with AI efficiency and share the best practices. At the same time, small-market players need support systems. They also need non-traditional approaches to overcome the disadvantages of scaling.
Our comparative study also examined a concrete marketing funnel and ROI scenario. Thus, it puts a number on the gap and prompts us to ask more profound questions about how to close it. Without intervention, AI could deepen the gaps. Already, big successful firms are racing ahead with higher ROI and market share. In contrast, smaller firms are left behind because they cannot afford to catch up. However, there are solutions. Lowering costs through technology democratization or subsidies and raising benefits through improved readiness and collaboration can even be the playing field.
In the next section, we conclude with key takeaways and recommendations from this research. Then we cover the limitations and avenues for future research to continue exploring this rapidly evolving field.
Conclusion
This study explored how AI changes marketing outcomes and economic impact in the e-commerce and retail sector. The study specifically compared the United States and Armenia. By looking at research and quantifying potential scenarios, we arrive at several important conclusions:
1. AI has a profound ability to improve marketing performance metrics. This leads to large revenue booms. Our models showed AI-driven targeting and personalization that nearly doubled revenue for both U.S. and Armenian retailers. Industry reports from McKinsey, IBM, Deloitte, and Gartner confirm this. Hence, companies that use AI see higher click rates and better ROI. The central promise of AI in marketing is true across diverse contexts. Furthermore, from a purely technological standpoint, AI marketing tools can help any business, large or small, if used correctly.
2. However, the economic impact of those improvements is highly uneven across countries and firm sizes: market size, location, and context matter. In a large market like the U.S., the dollar value of AI gains is massive. This justifies and fuels further investment. Firms can also get high returns on their AI spending because it is a necessary business move to compete.
In a small market like Armenia, even dramatic percentage improvements translate into only small dollar gains. This often does not justify the high cost of the AI tools. This creates a “snowball effect” where leading firms have both the means and the motive to adopt AI. They gain more and increase their lead. Small firms, in contrast, face a poor cost-benefit ratio, which delays their adoption of AI. Thus, the gap keeps growing. Without intervention, digital e-commerce gaps will widen globally. This echoes the warnings of McKinsey’s and UNCTAD’s studies that AI could potentially widen divides [3].
3. To bridge this gap, we need strategic action on multiple fronts. For advanced economies and industry leaders, they should focus on responsible, sustainable AI scaling. They should keep investing in AI for speed and advantage. But at the same time, they must also retrain their staff and handle ethical problems. They must also share successful methods. As AI becomes integral to marketing (just as social media strategy is today), companies need clear AI governance policies to ensure fairness and privacy. Creating these policies would benefit consumers and avoid repercussions that could undermine the very gains AI provides. Meanwhile, smaller economies and SMEs should focus on enabling access and building capacity.
- Policymakers and development partners should work to lower the financial and knowledge barriers. Our findings support measures such as subsidies for digital tools, pooled resources, and training programs. These measures will help raise ROI by reducing costs or boosting AI adoption in strict settings.
- Small businesses should pursue collaborative, frugal innovations. They can use open-source AI, free trials, and platform-based services that deliver AI power cheaply. Businesses should also team up with tech providers. Alternatively, they can also work with other smaller companies to share data and solutions.
- There is also a role for local tech entrepreneurship: They can create AI solutions tailored to local needs and languages. This makes the AI work better through those markets. Government support for local AI startups (as Armenia is beginning to do with its IT sector push) can create tools that these small traditional sectors can use.
4. The marketing function shows a small picture of the bigger digital transformation journey. We specifically examined AI in marketing. But the many lessons from this study apply to other business domains, such as operations and customer service. Marketing is often the frontline of AI adoption. This is because the improvements are easy to measure in sales and costs. Success in AI-powered marketing could spill over. For example, a company that sees ROI in marketing AI might next try AI in inventory management or pricing optimization. Thus, the marketing use case is a key test of AI’s value. If small firms in new markets achieve early wins with AI marketing, it will accelerate digital change across the board. It helps build a new comfort level and mindset for innovation.
5. Policy and international cooperation can make AI benefits inclusive. The research highlighted the economic, technical, and institutional factors. If we fail to implement frameworks that share AI knowledge and infrastructure, the gaps between countries will grow fast. There is also a need for coordinated effort to treat AI as a public good, as it would lift many economies. Nevertheless, our research also shows the need for context-specific strategies. What works in the U.S may not work in Armenia. While the U.S. relies on market context to drive AI use, Armenia needs help adopting it. Global forums need to accommodate these differences and encourage technology transfer and capacity building.
In conclusion, AI changes marketing. There is a mixture of good and bad news for the economy. On one hand, AI can boost sales and drive efficiency. However, without deliberate effort, those gains only happen to companies that are already ahead. The United States will see massive economic impacts in its retail sector. AI-powered marketing means higher productivity, lower consumer costs, and new marketing-related innovations. This reinforces the U.S. position as a leader in the digital economy. Armenia has strong entrepreneurs and growing tech talent. Still, there is a risk of lagging, especially for older businesses, unless steps are taken to overcome adoption barriers.
This paper draws on rich literature, methodological rigor, and illustrative results to offer a long-form analysis. This paper, therefore, provides detailed, human-focused insight into the nuanced dynamic impact of AI in marketing across different companies. We hope this study helps researchers, business strategists, and policymakers alike recognize the vast potential of AI in marketing. Furthermore, it can also help them understand the need for inclusive strategies to realize that potential globally.
Limitations and Future Research
This study offers an in-depth comparative analysis. But it is not without limitations. Acknowledging these is important for interpreting the results and charting paths for future research:
1. Scope Limited to E-Commerce/Retail Marketing: Our focus was explicitly on the e-commerce and retail sector’s marketing functions. We chose this scope because AI adoption is already common there, and data is available. Other fields might see different results. For example, AI in manufacturing or healthcare marketing might yield unique ROI outcomes and pose unique adoption barriers. Moreover, our focus was only on online stores. Traditional retail marketing, like brick-and-mortar promotions or omnichannel experiences, might yield different results. Future research should examine AI’s economic effects across other sectors and functions. This may reveal whether the patterns observed (large vs. minor market differences) hold universally. It can also reveal whether other sectors make it easier for SMEs to benefit more easily from AI.
2. Hypothetical Data and Models: To compensate for the lack of public granular data (especially in the Armenian context), we used hypothetical scenarios and assumptions informed by literature. We have judiciously selected these figures and cross-checked against reported statistics where possible. But they are not real company data. Real company results could vary. Our ROI model was also static and straightforward, focusing on a single period. Many companies adopt AI over time. Companies also learn and improve over time. Early gains may also diminish as the years go by. Future work could employ empirical data. For instance, researchers could use surveys or partnerships with companies to validate and refine the model. Longitudinal studies tracking firms before and after adoption of AI would be particularly valuable to observe real ROI and productivity changes.
3. Macro-Level Effects Not Fully Captured: We analyzed ROI and gains for single firms. We did not have bigger economy-wide effects.
For example, if many U.S. firms adopt AI in marketing, they will compete more. Hence, the gains might cancel out if AI shifts customers around, thereby not creating new demand. We also didn’t model employment effects quantitatively. If AI increases efficiency, does it reduce marketing jobs or create new ones? The UNCTAD 2025 report, which estimates that about 40% of jobs are affected [25]suggests massive labor-market shifts. Future research can use complex models to add to these factors. They can examine how AI adoption affects total output, employment, and wage structures in both large and small economies.
4. Generalizability to Other Small Markets: We used Armenia as a case study for a small, emerging market. Many other smaller developing countries share similar challenges, including digital infrastructure, a small consumer base, and a skills gap. But every country is slightly different. Armenia, for instance, has a high literacy rate and a strong IT sector relative to its size. This means the government might be more ready to adopt AI than other small nations with similar market sizes but weaker tech ecosystems. Armenia is also landlocked, which could also change its online sales outlook.
Future comparative studies could include multiple small countries. A good approach is to compare Armenia with another small economy, such as Georgia, or with a different region to see whether the findings hold broadly. Similarly, comparing the U.S. with another large economy (like China or a European Union aggregate) might add perspective, since consumer behavior and regulatory environments differ – China’s consumers, for example, are incredibly receptive to AI-powered shopping (via platforms like Alibaba), arguably even more so than in the U.S. Policy and international cooperation are vital in ensuring AI’s benefits are inclusive. The research highlighted not only economic and technical factors, but also the institutional dimension. Without frameworks that help share AI knowledge and infrastructure (for example, UNCTAD’s call for a global shared facility for AI or international guidelines that consider developing-country contexts), the divide could grow. Conversely, a coordinated effort – treating AI much like a public good – could uplift many. Our comparative approach gives rise to the need for context-specific strategies. What works in the U.S. context (free-market competition driving AI uptake) may not work in Armenia’s (where intervention to kick-start adoption is necessary). Global forums need to accommodate these differences and encourage technology transfer and capacity building.
In conclusion, AI’s influence in marketing is a double-edged sword for the economy: it can drive growth and efficiency, but without deliberate effort, those gains may accrue mainly to those already in advantageous positions. The United States stands to see substantial economic impacts in its retail sector from AI-powered marketing – higher productivity, potentially lower consumer costs, and new marketing-related innovations – reinforcing its leadership in the digital economy. Armenia, while full of entrepreneurial spirit and growing tech talent, risks lagging in leveraging AI to generate economic gains in traditional sectors unless it overcomes adoption barriers.
The long-form analysis presented in this paper contributes to a nuanced understanding of these dynamics. By expanding the manuscript, enriching the literature context, strengthening methodological rigor, and including illustrative results, we provide a robust, humanized narrative of AI in marketing through a comparative economic lens. We hope this study serves researchers, business strategists, and policymakers alike in recognizing both the vast potential of AI in marketing and the critical importance of inclusive strategies to realize that potential globally.
